本站注册 找回密码

QQ登录

只需一步,快速开始

微信登录

微信扫一扫,快速登录

太极网

太极网 首页 互动交流 武林杂谈 查看内容

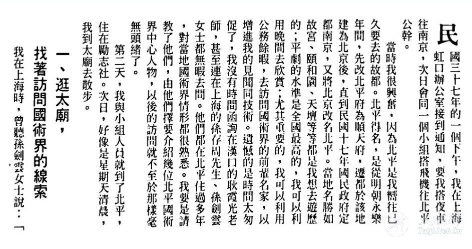
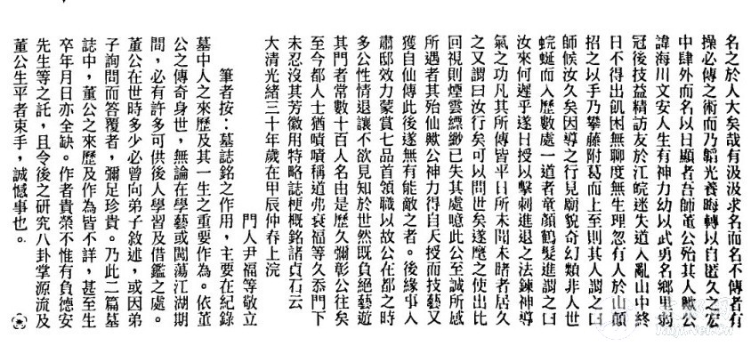
民国37年在上海与国术界交往

2009-9-30 08:56| 发布者: 太极人| 查看: 3585| 评论: 0

















[page]




 

 

 

 



[page]







[page]

















[page]








[page]









[page]












 




 

2

点赞
1

推荐

刚表态过的朋友 (3 人)

  • 点赞

    匿名

  • 点赞

    匿名

  • 推荐

    匿名

太极网微信二维码

扫码关注太极网 公众号 千万太极人的选择

太极网微信矩阵粉丝数百万,官微“太极拳”,每日更新太极拳资讯、文章、视频。

最新评论

QQ|平台简介|联系方式|太极教学|太极用品|传承谱系| 创始人刘洪奇

返回顶部